By Brooke E. Benson
The ecological concept of resilience has become a centerpiece of conservation efforts globally. Resilience generally refers to the capacity of an ecosystem to resist disturbances and recover quickly thereafter. Ecosystems have always experienced natural disturbances, and these are often important in ways you might not expect: forest fires, for example, can renew the ecosystem by clearing out dead vegetation and freeing up nutrients that were locked away in the old plant matter. Some plant species have even evolved to release their seeds in the presence of fire or smoke in order to take advantage of the newly available soil space.
Problems arise, however, when disturbance is a result of human activity. Human-induced disturbances are typically more intense, larger in scale, and more frequent than natural disturbances, often causing damage beyond what the ecosystem can cope with. In other words: human impacts have a big effect on the ecosystem’s resilience, or its ability to resist and recover.

Given the global decline in coral reefs, resilience-based management seems like a reasonable strategy to conserve reefs in a changing climate. To date, much attention has been given to the resistance part of resilience, or more specifically, how different disturbances are impacting reef health and survival. Recently, however, attention has turned to the recovery component. A study in the Lakshadweep archipelago off the coast of India examined the response of coral communities there to three El Niño events in 1998, 2010, and 2016.1 El Niño refers to a suite of oceanographic and climatic conditions that are part of a ~2-7 year climate cycle known as the El Niño Southern Oscillation. When El Niño conditions are present, tropical Pacific waters are warmer and can cause widespread thermal stress on coral reefs, which can ultimately lead to bleaching and mortality. Although El Niño is a naturally occurring phenomenon, its frequency and intensity are widely projected to increase under anthropogenic climate change, and there is good evidence that this is already occurring.2,3
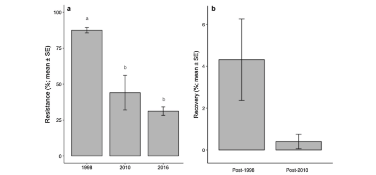
In the Lakshadweep study, Yadav and colleagues observed that coral resistance (resilience: part 1) to El Niño disturbance had increased, as coral mortality had declined over time (Fig. 1a). Conversely, recovery (resilience: part 2), or the rate of change in the number of live coral each year, had decreased substantially in the intervals between El Niño events (Fig. 1b). The researchers observed that the decline in recovery rate coincided with a shift in the community composition: in the past, the reefs were dominated by fast-growing species of coral like those in the genus Acropora. With increasing frequency and intensity of disturbance, the reefs have shifted toward greater dominance by slow-growing corals like Porites. These species, while increasing the resistance of the reef to disturbance due to their higher thermotolerance, can severely limit the rate at which the reef as a whole is able to rebuild itself. These types of shifts in dominant coral species have also been linked to reduced habitat complexity and increased susceptibility to erosion.4

Beyond changes in the overall “quality” of the reef system, this reduced recovery rate means that reefs are increasingly facing the next wave of disturbance before they’ve really begun to recover from the last one. The resulting cumulative degradation is proving to be more than even the slow-growing thermotolerant species can withstand. In a study across 81 reefs on Australia’s Great Barrier Reef over 19 years, Ortiz et al. (2018) detected substantial reductions in recovery rates across six coral taxa, including within Porites and other more thermotolerant groups.5 These reductions were attributed to a combination of chronic and acute stressors that together undermined both the resistance and recovery of the reefs.

So if a reef’s capacity for resilience is itself impacted by disturbance, what does resilience-based management look like? Despite the challenges of aiming for a moving target, the increasing attention to the importance of resilience is a good start. For the Great Barrier Reef corals, Ortiz et al. (2018) determined that a swift and thorough amelioration of stressors like poor water quality could enable a quick rebound of recovery rates. These efforts can also bolster resistance, given that local disturbance increases susceptibility to global thermal stress (Wooldridge & Done 2009).6 Furthermore, while marine protected areas can do little to increase reef resistance to disturbance, continued efforts to strategically expand them may successfully support recovery in a number of ways, as noted by Côté & Darling (2010).7 Yet the main takeaway from the combination of reduced recovery and impaired resistance is sobering: resilience-based management can only do so much in the face of rapid climate change. The human-induced disturbances on coral reefs are simply more intense, larger in scale, and more frequent than the natural disturbances that reefs evolved to withstand. Even the most stress-tolerant corals are likely to experience conditions exceeding their limits in the coming decades. Accordingly, managing for reef resilience into the next century will only be as effective as our efforts to mitigate the biggest source of the disturbance: atmospheric CO2 emissions.
References
- Yadav, S., Alcoverro, T., & Arthur, R. (2018). Coral reefs respond to repeated ENSO events with increasing resistance but reduced recovery capacities in the Lakshadweep archipelago. Coral Reefs, 1-13.
- Cai, W., Borlace, S., Lengaigne, M., Van Rensch, P., Collins, M., Vecchi, G., … & England, M. H. (2014). Increasing frequency of extreme El Niño events due to greenhouse warming. Nature climate change, 4(2), 111.
- Wang, G., Cai, W., Gan, B., Wu, L., Santoso, A., Lin, X., … & McPhaden, M. J. (2017). Continued increase of extreme El Niño frequency long after 1.5° C warming stabilization. Nature Climate Change, 7(8), 568.
- Alvarez-Filip, L., Carricart-Ganivet, J. P., Horta-Puga, G., & Iglesias-Prieto, R. (2013). Shifts in coral-assemblage composition do not ensure persistence of reef functionality. Scientific reports, 3, 3486.
- Ortiz, J. C., Wolff, N. H., Anthony, K. R., Devlin, M., Lewis, S., & Mumby, P. J. (2018). Impaired recovery of the Great Barrier Reef under cumulative stress. Science advances, 4(7), eaar6127.
- Wooldridge, S. A., & Done, T. J. (2009). Improved water quality can ameliorate effects of climate change on corals. Ecological Applications, 19(6), 1492-1499.
- Côté, I. M., & Darling, E. S. (2010). Rethinking ecosystem resilience in the face of climate change. PLoS biology, 8(7), e1000438.
